最新消息
加入我們
申請入黨
申請回復黨籍
進度查詢
號召志工
特約商店
黨員申辦悠遊卡證
關於我們
本黨組織
為民服務
歷屆全代會
黨史
下載專區
聯絡我們
地方黨部
黃復興黨部
電商中心
捐款/繳費
Facebook
YouTube
Twitter
Line
Instagram
捐款/繳費
最新消息
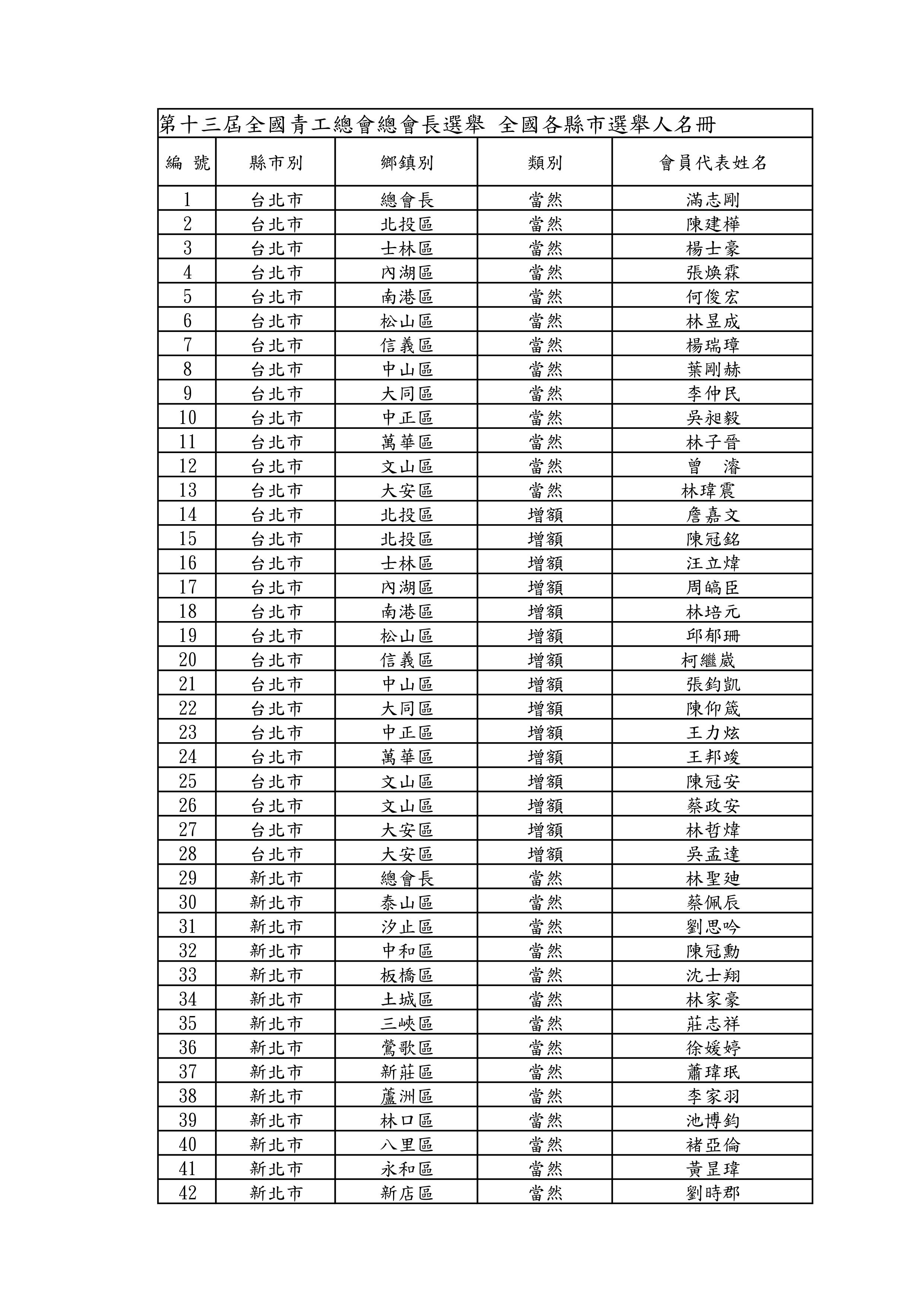
第十三屆全國青工總會長選舉人名冊公告
時間:2021 年 11 月 18 日
類別:黨部快訊
第十三屆全國青工總會總會長選舉 全國各縣市選舉人名冊(網路公告版):
Facebook
YouTube
Twitter
Line
Instagram